Опубликован список пострадавших в теракте. Скрин

От теракта в «Крокусе» пострадало 140 человек
Фото: Фото: Ведяшкин Сергей/Агентство «Москва»
Министерство здравоохранения Московской области опубликовало обновленный список пострадавших в результате теракта в «Крокус Сити Холле». По последним данным, в списке указано, что пострадало 140 человек.
Из них 31 человек получает амбулаторную помощь. Трое уже выписаны, сообщается на официальном сайте Минздрава Московской области.
Вечером 22 марта произошло нападение на концертный зал «Крокус Сити Холл», где террористы открыли огонь по мирным людям. Число погибших достигло 133 человек. Все четырех задержанных террористов доставили в Москву для проведения допросов и следственных мероприятий.

В списках значатся лица, находящиеся в ГБУЗ «НИИ скорой помощи им. Н.В. Склифосовского»
Фото: Фото: скрин URA.RU с сайта Минздрава Московской области сайт Минздрава Московской области

Пострадавшие находятся в больницах имени Ерамишанцева, Вересаева и Боткина
Фото: Фото: скрин URA.RU с сайта Минздрава Московской области сайт Минздрава России

Больницы имени Иноземцева и Жадкевича, а также ГКБ №62 также приняли пострадавших от теракта в «Крокусе»
Фото: Фото: скрин URA.RU с сайта Минздрава Московской области сайт Минздрава России

Некоторые принимают амбулаторную помощь
Фото: Фото: скрин URA.RU с сайта минздрава Московской области сайт Минздрава России

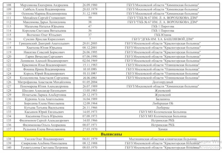
В списке находится 140 человек
Фото: Фото: скрин URA.RU с сайта Минздрава Московской области сайт Минздрава России
Материал из сюжета:
Теракт в концертном зале «Крокус Сити Холл»Не упустите шанс быть в числе первых, кто узнает о главных новостях России и мира! Присоединяйтесь к подписчикам telegram-канала URA.RU и всегда оставайтесь в курсе событий, которые формируют нашу жизнь. Подписаться на URA.RU.